企业邮箱
中文
|
ENGLISH
首页
关于我们
公司简介
企业文化
荣誉资质
发展历程
产品中心
产品介绍
安全有效
技术优势
平台优势
通知公告
通知公告
医疗旅游
国际医疗旅游
国内医疗特区
新闻资讯
源生动态
行业资讯
媒体聚焦
视频中心
学术中心
临床研究
论文文献
招贤纳士
招聘流程
招聘职位
福利待遇
联系我们
联系方式
电子地图
当前位置:
首页
>
学术中心
> 论文文献
学术中心
临床研究
论文文献
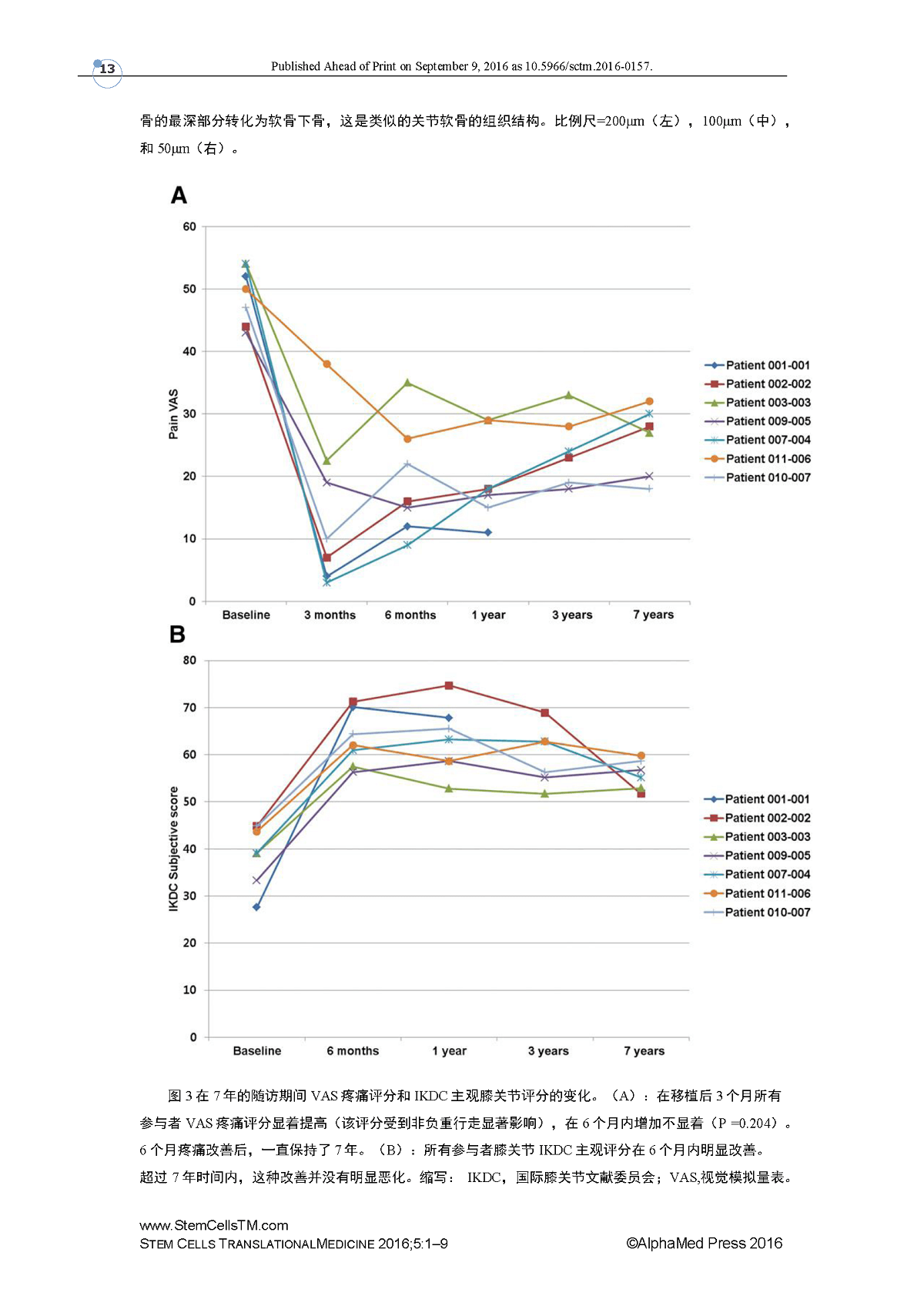
CARTISTEM七年随访结果
更新时间:2018-02-03 浏览次数: